Chapter 1 Differentiation Ex 1.3
Chapter 1 Differentiation Ex 1.3
Question 1.
Differentiate the following w.r.t. x:


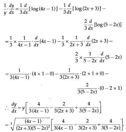
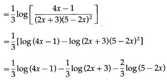
Then log y = log [latex]\sqrt[3]{\frac{4 x-1}{(2 x+3)(5-2 x)^{2}}}[/latex]
Differentiating both sides w.r.t. x, we get

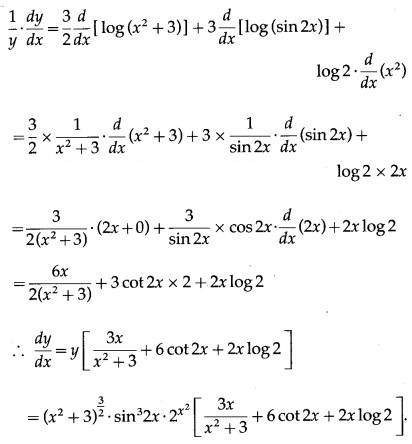
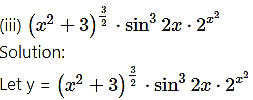
Then log y = log [latex]\left(x^{2}+3\right)^{\frac{3}{2}} \cdot \sin ^{3} 2 x \cdot 2^{x^{2}}[/latex]
Differentiating both sides w.r.t. x, we get

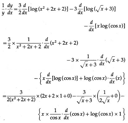
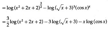
Then log y = log [latex]\frac{\left(x^{2}+2 x+2\right)^{\frac{3}{2}}}{(\sqrt{x}+3)^{3}(\cos x)^{x}}[/latex]
Differentiating both sides w.r.t. x, we get

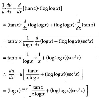
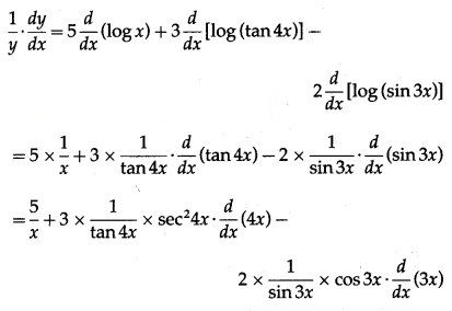
Then log y = log [latex]\frac{x^{5} \cdot \tan ^{3} 4 x}{\sin ^{2} 3 x}[/latex]
= log + log ta4x – log si3x
= 5 log x+ 3 log (tan 4x) – 2 log (sin 3x)
Differentiating both sides w.r.t. x, we get

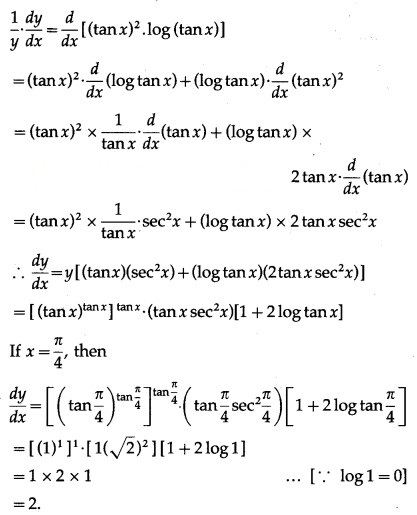
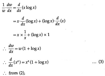
(vi)
Solution:
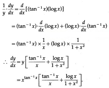
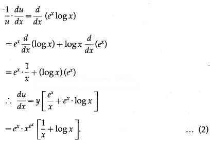
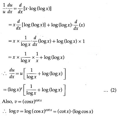
Let y =
Then log y = log () = ()(log x)
Differentiating both sides w.r.t. x, we get

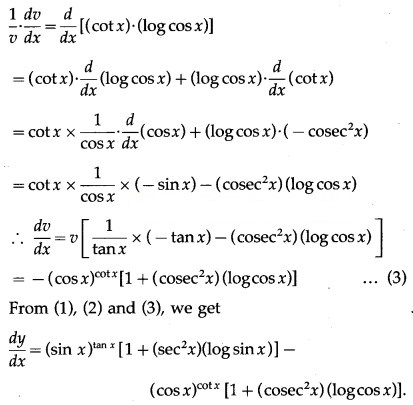
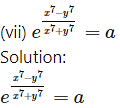
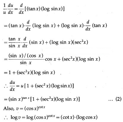
(vii) (sin x
Solution:
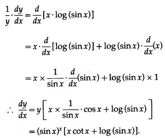
Let y = (sin x
Then log y = log (sin x = x . log (sin x)
Differentiating both sides w.r.t. x, we get

Differentiating both sides w.r.t. x, we get

Question 2.
Differentiate the following w.r.t. x:
Differentiating both sides w.r.t. x, we get
![]()

Differentiating both sides w.r.t. x, we get

Differentiating both sides w.r.t. x, we get

Differentiating both sides w.r.t. x, we get

Differentiating both sides w.r.t. x, we get

Differentiating both sides w.r.t. x, we get






Differentiating both sides w.r.t. x, we get

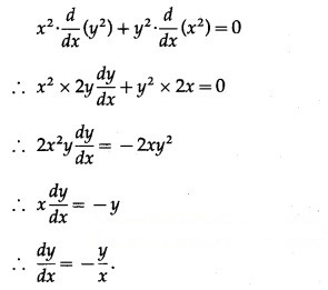
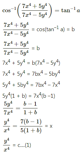
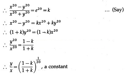
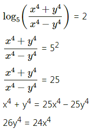
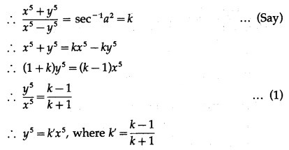
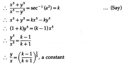
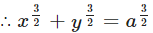
Question 3.![]()
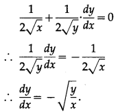
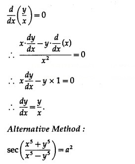
(i) √x + √y = √a
Solution:
√x + √y = √a
Differentiating both sides w.r.t. x, we get

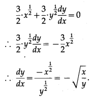
(ii) x√x + y√y = a√a
Solution:
x√x + y√y = a√a
Differentiating both sides w.r.t. x, we get

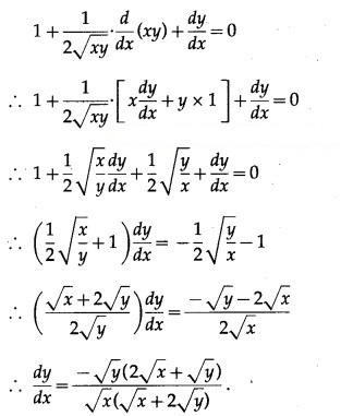
(iii) x + √xy + y = 1
Solution:
x + √xy + y = 1
Differentiating both sides w.r.t. x, we get

Differentiating both sides w.r.t. x, we get

Differentiating both sides w.r.t. x, we get

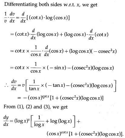
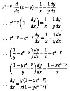
(vi)
Solution:
Differentiating both sides w.r.t. x, we get

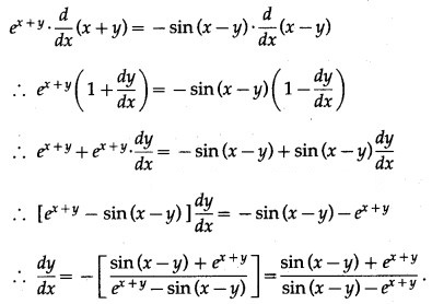
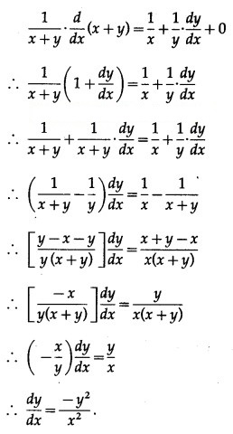
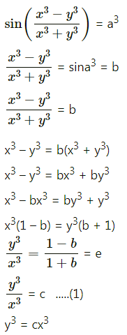
(vii) = cos (x – y)
Solution:
= cos (x – y)
Differentiating both sides w.r.t. x, we get

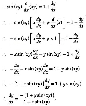
(viii) cos (xy) = x + y
Solution:
cos (xy) = x + y
Differentiating both sides w.r.t. x, we get

Differentiating both sides w.r.t. x, we get

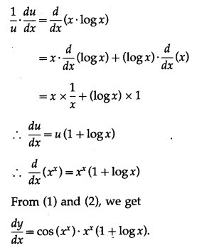
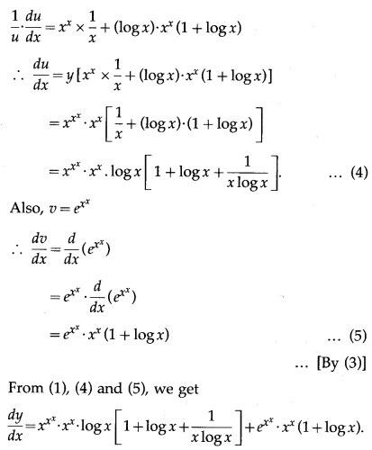
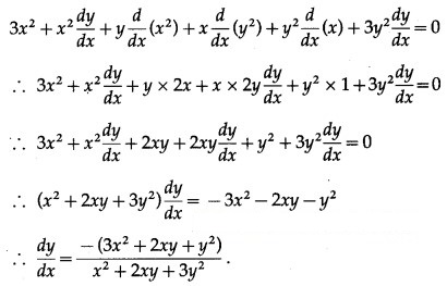
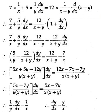
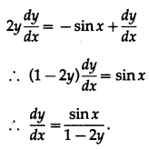
Question 4.
Differentiating both sides w.r.t. x, we get

Differentiating both sides w.r.t. x, we get

Differentiating both sides w.r.t. x, we get
Differentiating both sides w.r.t. x, we get

Differentiating both sides w.r.t. x, we get

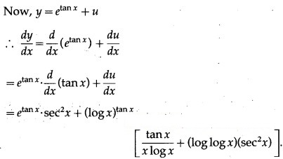
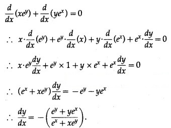
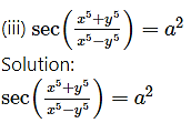
![]()
Solution:

Differentiating both sides w.r.t. x, we get

Differentiating both sides w.r.t. x, we get

Solution:
Differentiating both sides w.r.t. x, we get

Question 5.
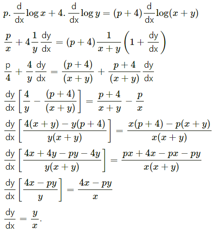
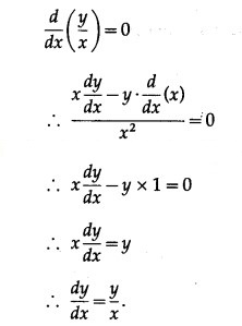
(i) If log (x + y) = log (xy) + p, where p is a constant, then prove that
![]()
Solution:
log (x + y) = log (xy) + p
∴ log (x + y) = log x + log y + p
Differentiating both sides w.r.t. x, we get



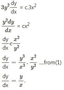
Solution:
Differentiating both sides w.r.t. x, we get

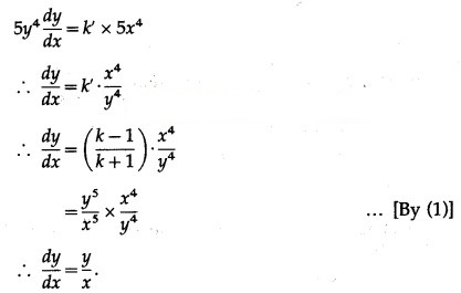
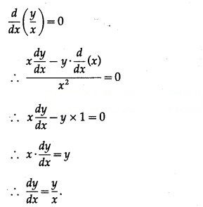
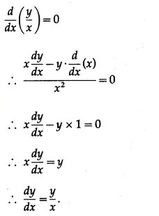
Differentiating both sides w.r.t. x, we get




Differentiating both sides w.r.t. x, we get







