Chapter 1 Differentiation Miscellaneous Exercise 1
Chapter 1 Differentiation Miscellaneous Exercise 1
(I) Choose the correct option from the given alternatives:


Question 2.
 
 

Question 3.
 

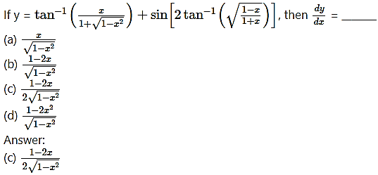
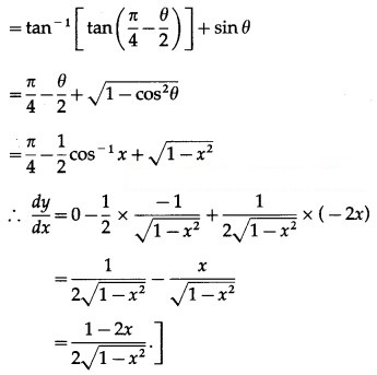
Question 4.
 

Question 5.
 

Question 6.
 
 

Question 7.
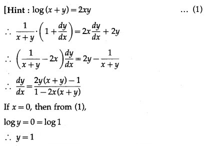
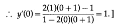
If y is a function of x and log(x + y) = 2xy, then the value of y'(0) = _______
(a) 2
(b) 0
(c) -1
(d) 1
Answer:
(d) 1
 

Question 8.
 

Question 9.
 

Question 10.

Question 11.
 
 

Question 12.
 

(II) Solve the following:
Question 1.
 
 
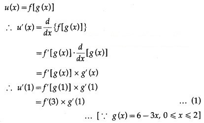
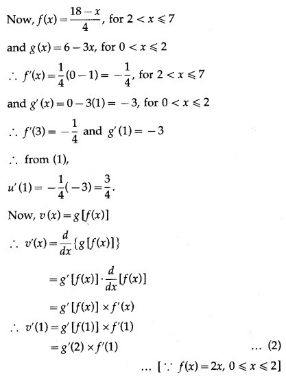
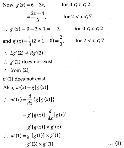
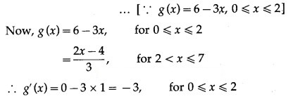
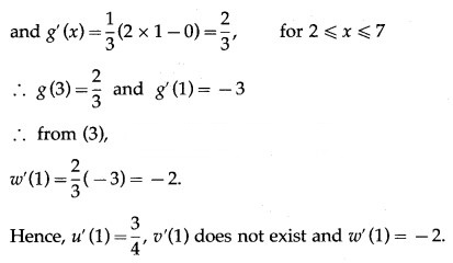
Let u(x) = f[g(x)], v(x) = g[f(x)] and w(x) = g[g(x)]. Find each derivative at x = 1, if it exists i.e. find u'(1), v'(1) and w'(1). if it doesn’t exist then explain why?
Solution:
 
 
 
 

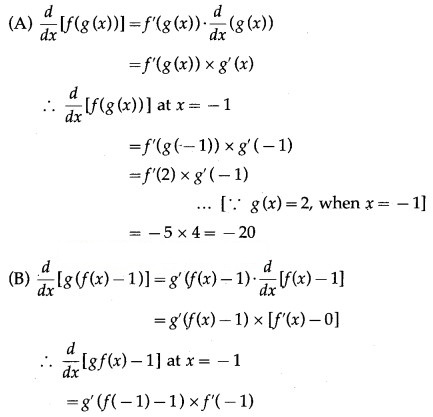
Question 2.
The values of f(x), g(x), f'(x) and g'(x) are given in the following table:
Match the following:
Solution:
 

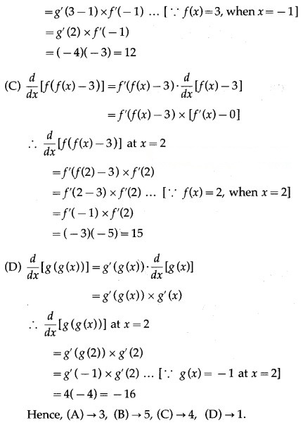
Question 3.
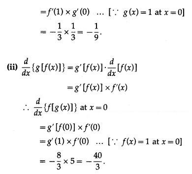
Suppose that the functions f and g and their derivatives with respect to x have the following values at x = 0 and x = 1.

Solution:
 
 
 

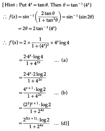
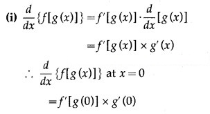
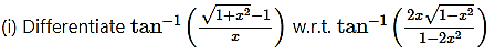
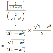
Question 4.
 





Solution:





Solution:
 


Solution:
 
 

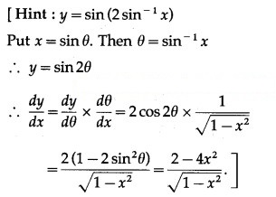
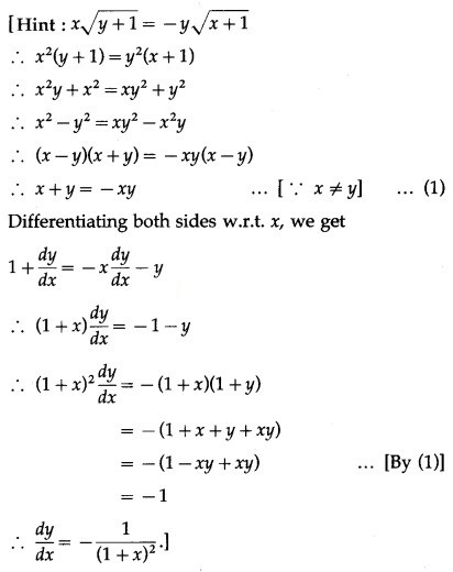
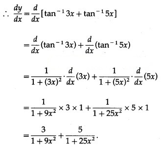
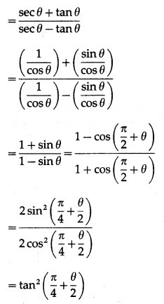
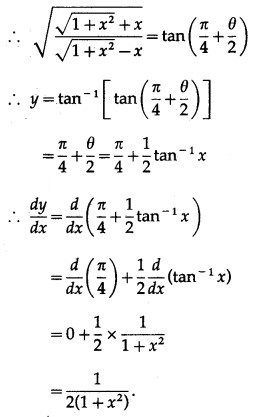
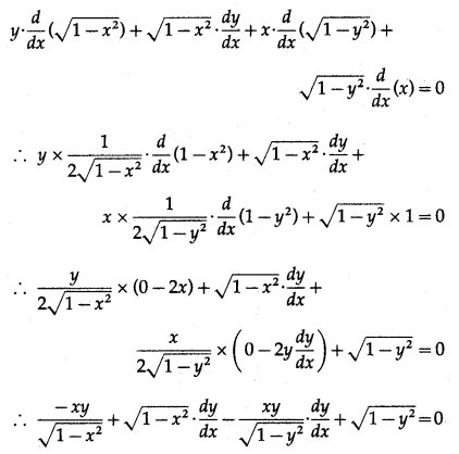
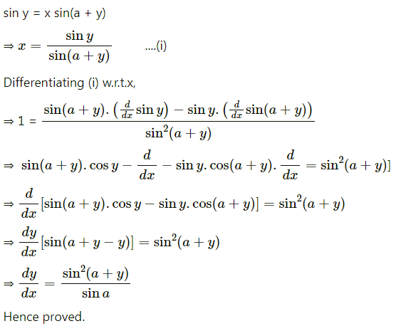
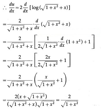
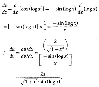
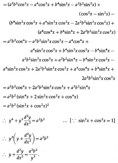
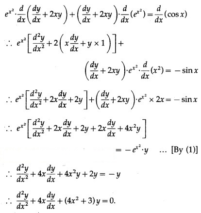
Question 5.
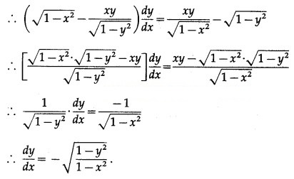
Differentiating both sides w.r.t. x, we get
 

 
Differentiating both sides w.r.t. x, we get
 


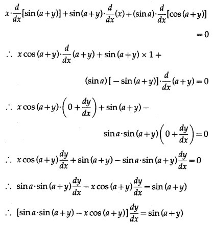
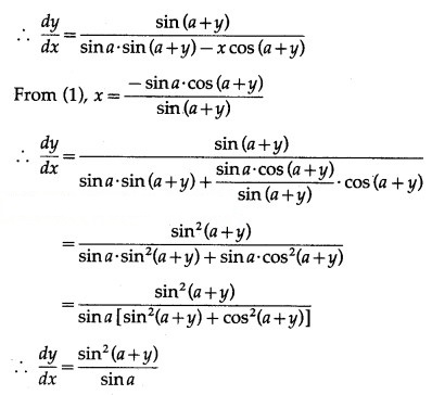
Solution:
x sin(a + y) + sin a . cos (a + y) = 0 ….. (1)
Differentiating w.r.t. x, we get
 
 


Solution:





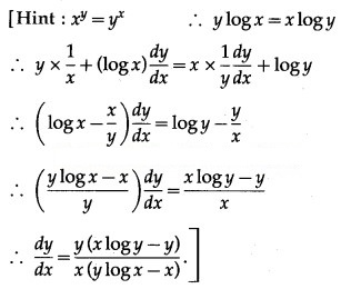
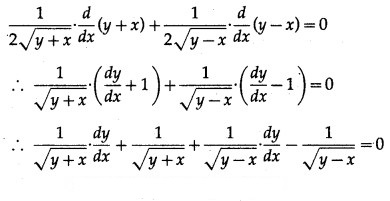
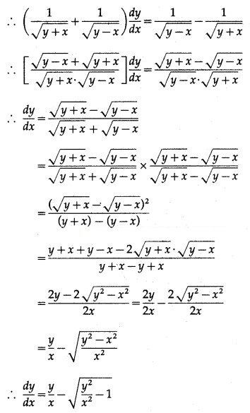
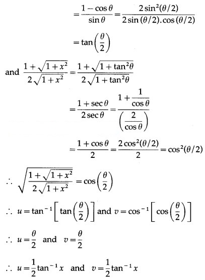
Question 6.
Solution:
 
 
 
 


Solution:
 
 


Solution:
 
 

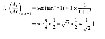
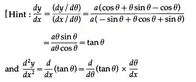
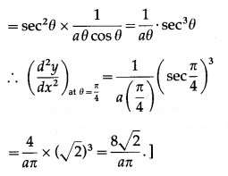
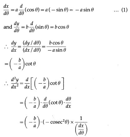
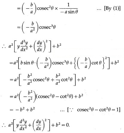
Question 7.
 
Differentiating both sides w.r.t. x, we get
 
 


Solution:
 


Solution:
x = a cos θ, y = b sin θ
Differentiating x and y w.r.t. θ, we get
 

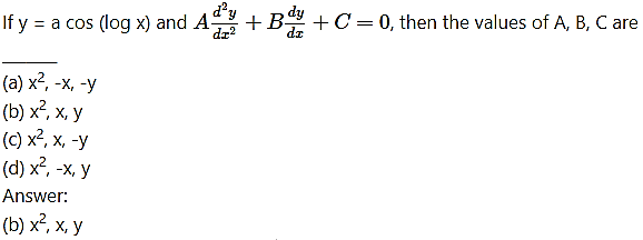
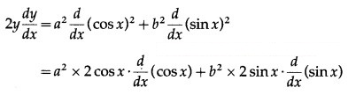
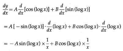
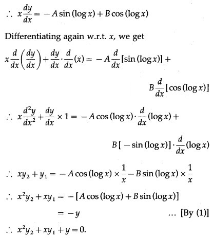
(iv) If y = A cos(log x) + B sin(log x), show that  + y = o.
Solution:
y = A cos (log x) + B sin (log x) …… (1)
Differentiating both sides w.r.t. x, we get
 

 
Differentiating w.r.t. x, we get
