Chapter 2 Real Numbers Practice Set 2.3
Chapter 2 Real Numbers Practice Set 2.3
Question 1.
State the order of the surds given below.
Answer:
i. 3, ii. 2, iii. 4, iv. 2, v. 3
Question 2.
State which of the following are surds Justify. [2 Marks each]
Answer:
= 4, which is not an irrational number.

Question 3.
Classify the given pair of surds into like surds and unlike surds. [2 Marks each]
Solution:
If the order of the surds and the radicands are same, then the surds are like surds.








Here, the order of 5√5 and 5√3 is same but their radicands are not.
∴ 5√5 and √75 are unlike surds.
Question 4.
Simplify the following surds.
Solution:
Question 5.
Compare the following pair of surds.
Solution:
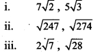
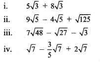
Question 6.
Simplify.
Solution:
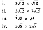
Question 7.
Multiply and write the answer in the simplest form.
Solution:
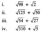
Question 8.
Divide and write form.
Solution:
Question 9.
Rationalize the denominator.
Solution:
Question 1.
Solution:
Question 2.
Solution:
Question 3.
Follow the arrows and complete the chart by doing the operations given. (Textbook pg. no. 34)
Solution:
Question 4.
There are some real numbers written on a card sheet. Use these numbers and construct two examples each of addition, subtraction, multiplication and division. Solve these examples. (Textbook pg. no. 34)
Solution: