Chapter 2 Sequences and Series Ex 2.6
Chapter 2 Sequences and Series Ex 2.6
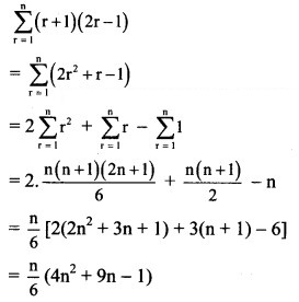
Question 1.![]()
Solution:
Question 2.![]()
Solution:

Question 3.![]()
Solution:

Question 4.![]()
Solution:

Question 5.
Find the sum 5 × 7 + 9 × 11 + 13 × 15 + ….. upto n terms.
Solution:
5 × 7 + 9 × 11 + 13 × 15 + ….. upto n terms
Now, 5, 9, 13, … are in A.P. with
rth term = 5 + (r – 1) (4) = 4r + 1
7, 11, 15, ….. are in A.P. with
rth term = 7 + (r – 1) (4) = 4r + 3
∴ 5 × 7 + 9 × 11 + 13 × 15 + …… upto n terms

Question 6.![]()
Solution:

Question 7.
Here, 2, 4, 6,…, 70 are in A.P. with rth term = 2r
and 1, 3, 5, …,69 are in A.P. with rth term = 2r – 1

Question 8.
Find the sum 1 × 3 × 5 + 3 × 5 × 7 + 5 × 7 × 9 + …… + (2n – 1) (2n + 1) (2n + 3)
Solution:
Let S = 1 × 3 × 5 + 3 × 5 × 7 + ….. upto n terms
Here, 1, 3, 5, 7 … are in A.P. with rth term = 2r – 1,
3, 5, 7, 9,… are in A.P. with rth term = 2r + 1,
5, 7, 9, 11,… are in A.P. with rth term = 2r + 3

Question 9.![]()
Solution:

Question 10.
Solution:
