Chapter 3 Arithmetic Progression Set 3.3
Chapter 3 Arithmetic Progression Set 3.3
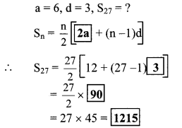
Question 1.
First term and common difference of an A.P. are 6 and 3 respectively; find S27.
Solution:
Question 2.
Find the sum of first 123 even natural numbers.
Solution:
The even natural numbers are 2, 4, 6, 8,…
The above sequence is an A.P.
∴ a = 2, d = 4 – 2 = 2, n = 123
 
∴ The sum of first 123 even natural numbers is 15252.
Question 3.
Find the sum of all even numbers between 1 and 350.
Solution:
The even numbers between 1 and 350 are 2, 4, 6,…, 348.
The above sequence is an A.P.
∴ a = 2, d = 4 – 2 = 2, tn = 348
Since, tn = a + (n – 1)d
∴ 348 = 2 + (n – 1)2
∴ 348 – 2 = (n – 1)2
∴ 346 = (n – 1)2
 
= 87(4 + 173 × 2)
= 87(4 + 346)
= 87 × 350
∴ S174 = 30450
∴ The sum of all even numbers between 1 and 350 is 30450.
Question 4.
In an A.P. 19th term is 52 and 38th term is 128, find sum of first 56 terms.
Solution:
For an A.P., let a be the first term and d be the common difference.
t19 = 52, t38 = 128 …[Given]
Since, tn = a + (n – 1)d
∴ t19 = a + (19 – 1)d
∴ 52 = a + 18d
i.e. a + 18d = 52 …(i)
Also, t38 = a + (38 – 1)d
∴ 128 = a + 37d
i.e. a + 37d = 128 …(ii)
Adding equations (i) and (ii), we get

Question 5.
Complete the following activity to find the sum of natural numbers between 1 to 140 which are divisible by 4.
Solution:

Question 6.
Sum of first 55 terms in an A.P. is 3300, find its 28th term.
Solution:
For an A.P., let a be the first term and d be the common difference.
S55 =3300 …[Given]
 

Question 7.
In an A.P. sum of three consecutive terms is 27 and their product is 504, find the terms. (Assume that three consecutive terms in A.P. are a – d, a, a + d.)
Solution:
Let the three consecutive terms in an A.P. be
a – d, a and a + d.
According to the first condition,
a – d + a + a + d = 27
∴ 3a = 27
∴ a =   
∴ a = 9 ….(i)
According to the second condition,
(a – d) a (a + d) = 504
∴ a(a2 – d2) = 504
∴ 9(a2 – d2) = 504 …[From (i)]
∴ 9(81 – d2) = 504
∴ 81 – d2 = 5049
∴ 81 – d2 = 56
∴ d2 = 81 – 56
∴ d2 = 25
Taking square root of both sides, we get
d = ± 5
When d = 5 and a =9,
a – d 9 – 5 = 4
a = 9
a + d 9 + 5 = 14
When d = -5 and a = 9,
a – d = 9 – (-5) = 9 + 5 = 14
a = 9
a + d = 9 – 5 = 4
∴ The three consecutive terms are 4, 9 and 14 or 14, 9 and 4.
Question 8.
Find four consecutive terms in an A.P. whose sum is 12 and sum of 3rd and 4th term is 14. (Assume the four consecutive terms in A.P. are a – d, a, a + d, a + 2d.)
Solution:
Let the four consecutive terms in an A.P. be
a – d, a, a + d and a + 2d.
According to the first condition,
a – d + a + a + d + a + 2d = 12
∴ 4a + 2d =12
∴ 2(2a + d) = 12
∴ 2a + d = 122
∴ 2a + d = 6 …(i)
According to the second condition,
a + d + a + 2d = 14
∴ 2a + 3d = 14 …(ii)
Subtracting equation (i) from (ii), we get
 
∴ The four consecutive terms are -3,1,5 and 9.
Question 9.
If the 9th term of an A.P. is zero, then show that the 29th term is twice the 19th term.
To prove: t29 = 2t19
Proof:
For an A.P., let a be the first term and d be the common difference.
t9 = 0 …[Given]
Since, tn = a + (n – 1)d
∴ t9 = a + (9 – 1)d
∴ 0 = a + 8d
∴ a = -8d …(i)
Also, t19 = a + (19 – 1)d
= a + 18d
= -8d + 18d … [From (i)]
∴ t19 = 10d …(ii)
and t29 = a + (29 – 1)d
= a + 28d
= -8d + 28d …[From (i)]
∴ t29 = 20d = 2(10d)
∴ t29 = 2(t19) … [From (ii)]
∴ The 29th term is twice the 19th term.
Question 1.
Find the sum of all odd numbers from 1 to 150. (Textbook pg, no. 71)
Solution:
Odd numbers from 1 to 150 are 1,3, 5, 7,…, 149
Here, difference between any two consecutive terms is 2.
∴ It is an A.P.
∴ a = 1, d = 2
Let us find how many odd numbers are there from 1 to 150, i.e. find the value of n if
tn = 149
tn = a + (n – 1)d
∴ 149 = 1 + (n – 1)2
∴ 149 – 1 = (n – 1)2
∴  = n – 1
∴ 74 = n – 1
∴ n = 74 + 1 = 75
ii. Now, let’s find the sum of 75 numbers
i. e. 1 + 3 + 5 + 7 + … + 149
