Chapter 3 Indefinite Integration Ex 3.1
Chapter 3 Indefinite Integration Ex 3.1
I. Integrate the following functions w.r.t. x:
(i)  +  – x + 1
Solution:


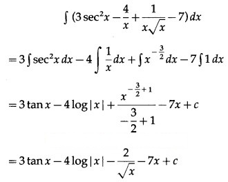
Solution:


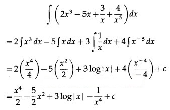
Solution:

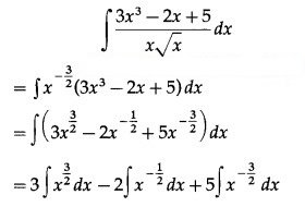
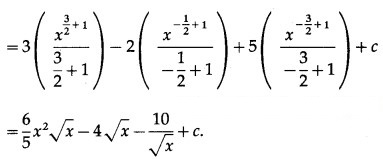
Solution:

Solution:

II. Evaluate:
(i) ∫ta x . dx
Solution:

 
Solution:


Solution:

Solution:


Solution:
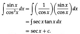
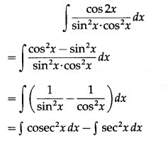
= -cot x – tan x + c

Solution:


Solution:


Solution:


Solution:

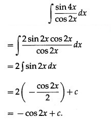
(x) ∫sin 4x cos 3x dx
Solution:

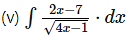
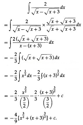
III. Evaluate:
(i) ∫⋅dx
Solution:


Solution:

 
Solution:

Solution:

Solution:
 


Solution:

Solution:

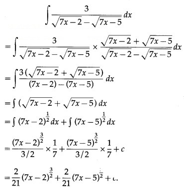
(viii) ∫ x . dx
Solution:


Solution:

Solution:
IV.
Question 1.
Solution:
By the definition of integral,
