Chapter 3 Indefinite Integration Ex 3.2(C)
Chapter 3 Indefinite Integration Ex 3.2(C)
I. Evaluate:
Question 1.


Question 2.
 
 

Question 3.
 
 

Question 4.



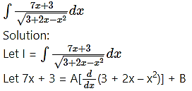
Question 5.
7x + 3 = A(2 – 2x) + B
∴ 7x + 3 = -2Ax + (2A + B)
Comparing the coefficient of x and constant on both the sides, we get
-2A = 7 and 2A + B = 3
 

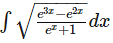
Question 6.
 
Solution:
 
Comparing the coefficients of x and constant term on both sides, we get
 

Question 7.
Solution:
 
 

Question 8.
Solution:
 

Question 9.
Solution:
 
 
