Chapter 3 Indefinite Integration Ex 3.3
Chapter 3 Indefinite Integration Ex 3.3
I. Evaluate the following:
Question 1.
∫ log x dx
Solution:

Question 2.
∫ sin 3x dx
Solution:

Question 3.
∫x x dx
Solution:

Question 4.
∫ x dx
Solution:

Question 5.

Question 6.

Question 7.

Question 8.
∫x . x dx
Solution:

Question 9.
∫ log x dx
Solution:

Question 10.
∫ cos 3x dx
Solution:

Question 11.
∫x x dx
Solution:

Question 12.
∫ x dx
Solution:

Question 13.![]()
Solution:
= t(log t – 1) + c
= (log x) . [log(log x) – 1] + c.
Question 14.![]()
Solution:

Question 15.

Question 16.
∫sin θ . log(cos θ) dθ
Solution:
Let I = ∫sin θ . log (cos θ) dθ
= ∫log(cos θ) . sin θ dθ
Put cos θ = t
∴ -sin θ dθ = dt
∴ sin θ dθ = -dt
= -t log t + t + c
= -cos θ . log(cos θ) + cos θ + c
= -cos θ [log(cos θ) – 1] + c.
Question 17.

Question 18.![]()
Solution:

Question 19.

Question 20.

Question 21.

II. Integrate the following functions w.r.t. x:
Question 1.
sin 3x
Solution:

Question 2.
cos 2x
Solution:

Question 3.
sin(log x)
Solution:

Question 4.

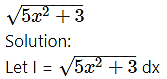
Question 5.![]()
Solution:

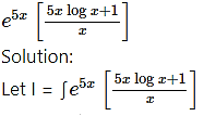
Question 6.![]()
Solution:

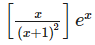
Question 7.![]()
Solution:

Question 8.

Question 9.
= A[-4 – 2x] + B
= -2Ax + (B – 4A)
Comparing the coefficients of x and the constant term on both sides, we get
-2A = 1, B – 4A = 0

Question 10.![]()
Solution:

Question 11.![]()
Solution:

Question 12.![]()
Solution:

III. Integrate the following functions w.r.t. x:
Question 1.

Question 2.![]()
Solution:

Question 3.

Question 4.![]()
Solution:

Question 5.![]()
Solution:

Question 6.

Question 7.![]()
Solution:

Question 8.

Question 9.
