Chapter 3 Indefinite Integration Miscellaneous Exercise 3
Chapter 3 Indefinite Integration Miscellaneous Exercise 3
I. Choose the correct options from the given alternatives:
Question 1.
Question 2.

Question 3.![]()
(a) log(3x) – log(9x) + c
(b) log(x) – (log 3) . log(log 9x) + c
(c) log 9 – (log x) . log(log 3x) + c
(d) log(x) + log(3) . log(log 9x) + c
Answer:
(b) log(x) – (log 3) . log(log 9x) + c


Question 6.

Question 7.

Question 8.

Question 9.

Question 10.
Question 11.

Question 13.

Question 14.

Question 15.
(a) sin 2x + c
(b) cos 2x + c
(c) tan 2x + c
(d) 2 sin 2x + c
Answer:
(a) sin 2x + c
Question 16.

Question 17.
Question 18.
∫[sin(log x) + cos(log x)] . dx =
(a) x cos(log x) + c
(b) sin(log x) + c
(c) cos(log x) + c
(d) x sin(log x) + c
Answer:
(d) x sin(log x) + c
Question 19.
(a) tan x – x + c
(b) x + tan x + c
(c) x – tan x + c
(d) -x – cot x + c
Answer:
(c) x – tan x + c

Question 20.

II. Integrate the following with respect to the respective variable:
Question 1.![]()
Solution:

Question 2.
Solution:

Question 3.![]()
Solution:

Question 4.![]()
Solution:

Question 5.![]()
Solution:

Question 6.![]()
Solution:

Question 7.
cos 3x cos 2x cos x
Solution:

Question 8.![]()
Solution:

Question 9.

III. Integrate the following w.r.t. x:
Question 1.![]()
Solution:

Question 2.![]()
Solution:

Question 3.![]()
Solution:

Question 4.![]()
Solution:

Question 5.![]()
Solution:

Question 6.![]()
Solution:

Question 7.![]()
Solution:

Question 8.![]()
Solution:

Question 9.![]()
Solution:

Question 10.![]()
Solution:

Question 11.![]()
Solution:

Question 12.![]()
Solution:

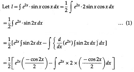
Question 13.![]()
Solution:

Question 14.![]()
Solution:

Question 15.![]()
Solution:

Question 16.![]()
Solution:

Question 17.![]()
Solution:

Question 18.![]()
Solution:

Question 19.![]()
Solution:

Question 20.![]()
Solution:
