Chapter 4 Methods of Induction and Binomial Theorem Ex 4.3
Chapter 4 Methods of Induction and Binomial Theorem Ex 4.3
Question 1.
In the following expansions, find the indicated term.![]()
Solution:

![]()
Solution:

![]()
Solution:

![]()
Solution:
![]()
Solution:

Question 2.
In the following expansions, find the indicated coefficients.![]()
Solution:

![]()
Solution:

![]()
Solution:

![]()
Solution:
![]()
Solution:

Question 3.
Find the constant term (term independent of x) in the expansion of![]()
Solution:

![]()
Solution:

![]()
Solution:

![]()
Solution:

![]()
Solution:

Question 4.
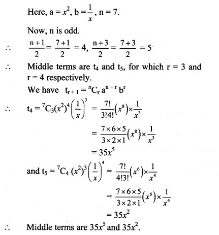
Find the middle terms in the expansion of![]()
Solution:

![]()
Solution:
![]()
Solution:

![]()
Solution:

![]()
Solution:

Question 5.
In the expansion of (k + x)8, the coefficient of X5 is 10 times the coefficient of X6. Find the value of k.
Solution:

Question 6.
Find the term containing X6 in the expansion of (2 – x) (3x + 1)9.
Solution:

Question 7.