Chapter 4 Methods of Induction and Binomial Theorem Miscellaneous Exercise 4
Chapter 4 Methods of Induction and Binomial Theorem Miscellaneous Exercise 4
(I) Select the correct answers from the given alternatives.
Question 1.
The total number of terms in the expression of (x + y)100 + (x – y)100 after simplification is:
(A) 50
(B) 51
(C) 100
(D) 202
Answer:
(B) 51
Hint:

Question 2.

Question 3.

Question 4.
Hint:

Question 5.
The number of terms in expansion of (4y + x)8 – (4y – x)8 is
(A) 4
(B) 5
(C) 8
(D) 9
Answer:
(A) 4
Hint:

Question 6.
Hint:

Question 7.
Hint:

Question 8.
In the expansion of (3x + 2)4, the coefficient of the middle term is
(A) 36
(B) 54
(C) 81
(D) 216
Answer:
(D) 216
Hint:
(3x + 2)4 has 5 terms.
∴ (3x + 2)4 has 3rd term as the middle term.
The coefficient of the middle term
= 6 × 9 × 4
= 216
Question 9.

Question 10.
If the coefficients of x2 and x3 in the expansion of (3 + ax)9 are the same, then the value of a is
Hint:

(II) Answer the following.
Question 1.

Step III:
We have to prove that P(n) is true for n = k + 1,
i.e., 8 + 17 + 26 + …… + [9(k + 1) – 1]
∴ P(n) is true for n = k + 1.
Step IV:
From all the steps above, by the principle of mathematical induction, P(n) is true for all n ∈ N.

Step III:
We have to prove that P(n) is true for n = k + 1,
i.e., to prove that
∴ P(n) is true for n = k + 1.
Step IV:
From all the steps above, by the principle of mathematical induction, P(n) is true for all n ∈ N.

Step III:
We have to prove that P(n) is true for n = k + 1,
i.e., to prove that
∴ P(n) is true for n = k + 1.
Step IV:
From all the steps above, by the principle of mathematical induction, P(n) is true for all n ∈ N.
![]()
Solution:

Question 2.

Step III:
We have to prove that P(n) is true for n = k + 1,
i.e., to prove that

Step IV:
From all the steps above, by the principle of mathematical induction, P(n) is true for all n ∈ N.
![]()
Question 3.
Prove by method of induction
Solution:

Step IV:
From all the steps above, by the principle of mathematical induction, P(n) is true for all n ∈ N.
Using binomial theorem,

Question 5.![]()
Solution:

Question 6.![]()
Solution:

Question 7.![]()
Solution:

Question 8.
∴ The Middle term is -20.





Solution:

Question 9.
Solution:

![]()
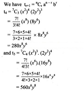
Solution:
Question 10.
Find the constant term in the expansion of![]()
Solution:

![]()
Solution:

Question 11.
Prove by method of induction![]()
Solution:



Step IV:
From all the steps above, by the principle of mathematical induction, P(n) is true for all n ∈ N.
Solution:

Question 12.
If the coefficient of x16 in the expansion of (x2 + ax)10 is 3360, find a.
Solution:

Question 13.![]()
Solution:

Question 14.
If the coefficients of x2 and x3 in theexpansion of (3 + kx)9 are equal, find k.
Solution:

Question 15.![]()
Solution:

Question 16.![]()
Solution:

Question 17.![]()
Solution:

Question 18.![]()
Solution:

Question 19.![]()
Solution:

Question 20.![]()
Solution:

Question 21.![]()
Solution:

Question 22.![]()
Solution:

Question 23.![]()
Solution:

Question 24.
(a + bx) (1 – x)6 = 3 – 20x + cx2 + …, then find a, b, c.
Solution:

Question 25.
The 3rd term of (1 + x)n is 36x2. Find 5th term.
Solution:

Question 26.
Suppose (1 + kx)n = 1 – 12x + 60x2 – …… find k and n.
Solution:
