Chapter 4 Ratio and Proportion Practice Set 4.3
Chapter 4 Ratio and Proportion Practice Set 4.3
Question 1.![]()

Solution:

Question 2.
Solution:

Question 3.![]()
Solution:

Question 4.
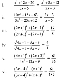
Solve the following equations.
Solution:
This equation is true for x = 0
∴ x = 0 is one of the solutions.
If x ≠ 0, then x2 ≠ 0
∴ 8x + 12 = 12x – 20
∴ 12 + 20 = 12x – 8x
∴ 32 = 4x
∴ x = 8
∴ x = 0 or x = 8 are the solutions of the given equation.
∴ 21(x – 5) = 4(2x + 3)
∴ 21x – 105 = 8x + 12
∴ 21x – 8x = 12 + 105
∴ 13x = 117
∴ x = 9
∴ x = 9 ¡s the solution of the given equation.

∴ 9(4x + 1) = 25(x + 3)
∴36x + 925x + 75
∴ 36x – 25 = 75 – 9
∴11x = 66
∴ x = 6
∴ x = 6 is the solution of the given equation.
∴ 4(3x – 4) = 5(x + 1)
∴ 12x – 16 = 5x + 5
∴ 12x – 5x = 5 + 16
∴ 7x = 21
∴ x = 3
∴ x = 3 ¡s the solution of the given equation.