Chapter 6 Differential Equations Ex 6.4
Chapter 6 Differential Equations Ex 6.4
I. Solve the following differential equations:
Question 1. 
  
 
Solution:

Question 2.
 
 

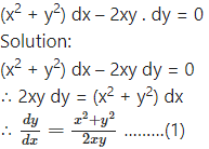
Question 3.
Solution:
 

Question 4.
 
Substituting these values in (1), we get
 

Question 5.
Solution:
 
 

Question 6.
Solution:
 
 

Question 7.
Solution:
 

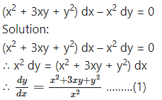
Question 8.
Solution:
 

Question 9.
Solution:
 

Question 10.
Solution:
 

Question 11.
x dy + 2y · dx = 0, when x = 2, y = 1
Solution:
∴ x dy + 2y · dx = 0
∴ x dy = -2y dx
 
Integrating, we get
 
This is the general solution.
When x = 2, y = 1, we get
4(1) = c
∴ c = 4
 

Question 13.
 
 
 

Question 14.
 

Question 15.
Solution:
 
 
