Chapter 1 Differentiation Ex 1.2
Chapter 1 Differentiation Ex 1.2
Question 1.
Find the derivative of the function y = f (x) using the derivative of the inverse function x = ( y) in the following
(i) y = √x
Solution:
y = √x … (1)
We have to find the inverse function of y = f(x), i.e. x in terms of y.
From (1),
 = x ∴ x = y2

 
We have to find the inverse function of y = f(x), i.e. x in terms of y.
From (1),

 
We have to find the inverse function of y = f(x), i.e. x in terms of y.
From (1),
 

(iv) y = log (2x – 1)
Solution:
y = log (2x – 1) …(1)
We have to find the inverse function of y = f(x), i.e. x in terms of y.
From (1),

(v) y = 2x + 3
Solution:
y = 2x + 3 ….(1)
We have to find the inverse function of y = f(x), i.e. x in terms of y.
From (1),

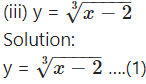
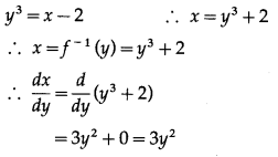
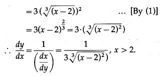
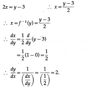
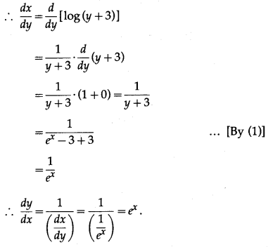
(vi) y =  – 3
Solution:
y =  – 3 ….(1)
We have to find the inverse function of y = f(x), i.e. x in terms of y.
From (1),
 = y + 3
∴ x = log(y + 3)
∴ x =  (y) = log(y + 3)

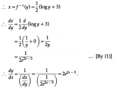
(vii) y = 
Solution:
y =  ….(1)
We have to find the inverse function of y = f(x), i.e. x in terms of y.
From (1),
2x – 3 = log y ∴ 2x = log y + 3



Question 2.
Find the derivative of the inverse function of
the following
(i) y = 
Solution:
y =
Differentiating w.r.t. x, we get

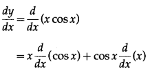
(ii) y = x cos x
Solution:
y = x cos x
Differentiating w.r.t. x, we get
 

(iii) y = x·
Solution:
y = x·
Differentiating w.r.t. x, we get

(iv) y =  + logx
Solution:
y = + logx
Differentiating w.r.t. x, we get

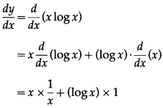
(v) y = x logx
Solution:
y = x logx
Differentiating w.r.t. x, we get
 

Question 3.
Find the derivative of the inverse of the following functions, and also fid their value at the points indicated against them.
 
The derivative of inverse function of y = f(x) is given by

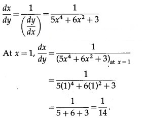
(ii) y =  + 3x + 2, at x = 0
Solution:
y =  + 3x + 2
Differentiating w.r.t. x, we get
 
The derivative of inverse function of y = f(x) is given by
 

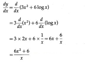
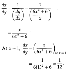
(iii) y = 3 + 2 log x3, at x = 1
Solution:
y = 3 + 2 log
= 3 + 6 log x
Differentiating w.r.t. x, we get
 
The derivative of inverse function of y = f(x) is given by

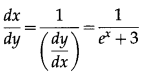
(iv) y = sin (x – 2) + , at x = 2
Solution:
y = sin (x – 2) +
Differentiating w.r.t. x, we get
 

Question 4.
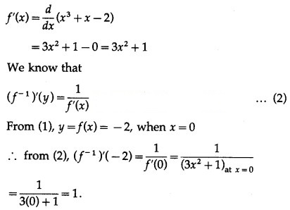
If f(x) =  + x – 2, find ()’ (0).
Question is modified.
If f(x) =  + x – 2, find ()’ (-2).
Solution:
f(x) =  + x – 2 ….(1)
Differentiating w.r.t. x, we get

Question 5.
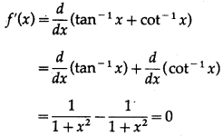
Using derivative prove
Solution:
let f(x) =
Differentiating w.r.t. x, we get
 
Since, f'(x) = 0, f(x) is a constant function.
Let f(x) = k.
For any value of x, f(x) = k
Let x = 0.
Then f(0) = k ….(2)
From (1), f(0) =
 

 
 
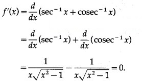
Since, f'(x) = 0, f(x) is a constant function.
Let f(x) = k.
For any value of x, f(x) = k, where |x| > 1
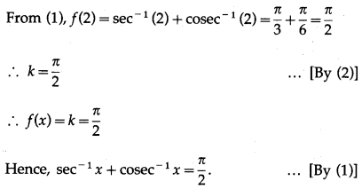
Let x = 2.
Then, f(2) = k ……(2)

Question 6.
Diffrentiate the following w. r. t. x.
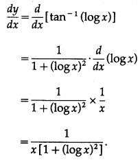
(i) ta(log x)
Solution:
Let y = ta (log x)
Differentiating w.r.t. x, we get

(ii) 
Solution:
Let y =
Differentiating w.r.t. x, we get

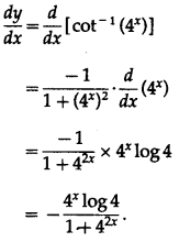
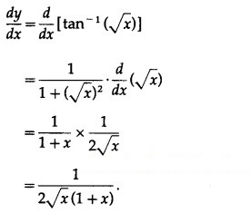
(iii) 
Solution:
Let y =
Differentiating w.r.t. x, we get

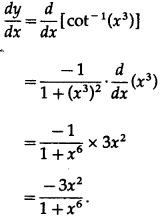
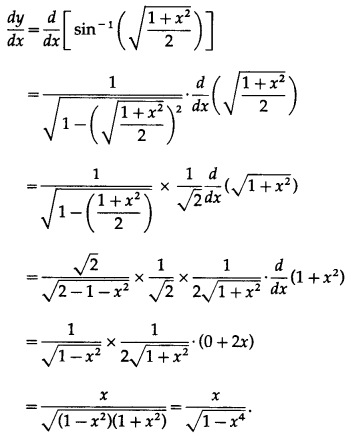
(iv) 
Solution:
Let y =
Differentiating w.r.t. x, we get

 
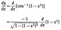
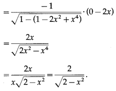
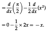
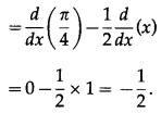
Differentiating w.r.t. x, we get

 
Differentiating w.r.t. x, we get

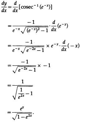
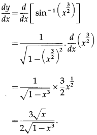
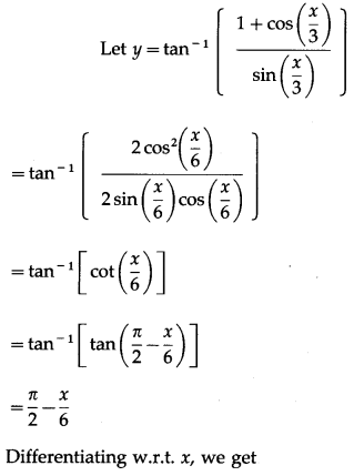
(vii) 
Solution:
Let y = 
Differentiating w.r.t. x, we get
 

 
Differentiating w.r.t. x, we get


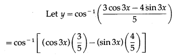
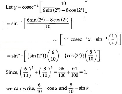
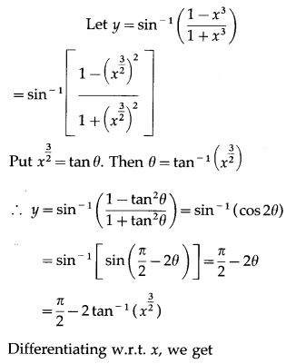
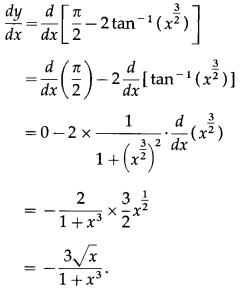
Question 7.
 

 
Solution:

 
Solution:

 
Solution:
 


Solution:
 

 
Solution:

 
Solution:
 



 
Solution:
 



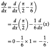
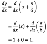
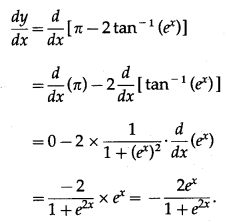
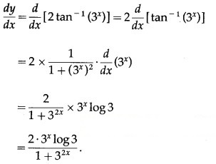
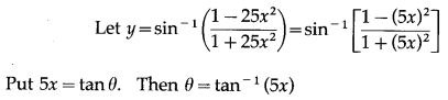
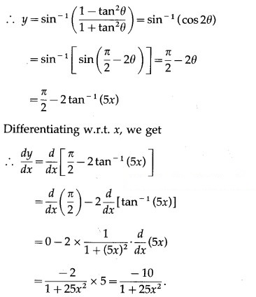
(xi) (cosec x + cot x)
Solution:
Let y =  (cosec x + cot x)
 


Solution:
 
 
 

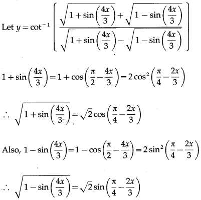
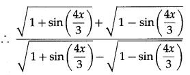
Question 8.
(i) 
Solution:
 

(ii) 
Solution:
 

(iii) 
Solution:
 

(iv) 
Solution:
 

(v) 
Solution:
 
 
= ex.
(vi) 
Solution:
 

Question 9.
Diffrentiate the following w. r. t. x.
Solution:

 
Solution:


Solution:


Solution:
 

(v)
Solution:
 


Solution:

 
Solution:
 


Solution:
 

 
Solution:
 

 
Solution:
 







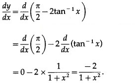
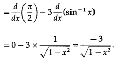
Question 10.
Diffrentiate the following w. r. t. x.





















