Chapter 1 Differentiation Ex 1.5
Chapter 1 Differentiation Ex 1.5
Question 1.
Find the second order derivatives of the following:
 

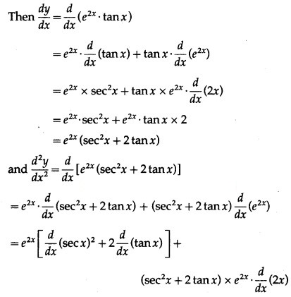
(ii)  . tan x
Solution:
Let y =  . tan x
 

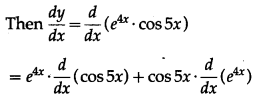
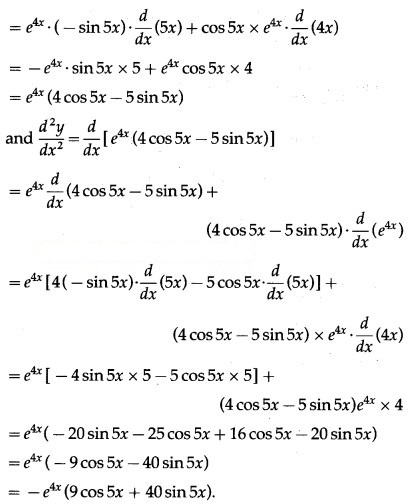
(iii)   . cos 5x
Solution:
Let y =   . cos 5x
 

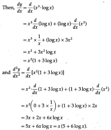
(iv)  . log x
Solution:
Let y =  . log x

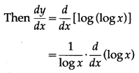
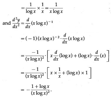
(v) log(log x)
Solution:
Let y = log(log x)
 

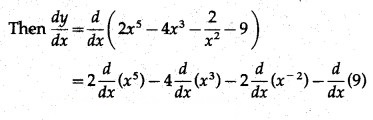
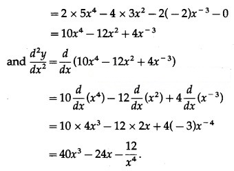
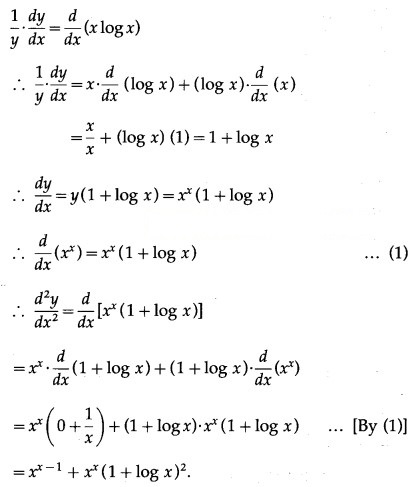
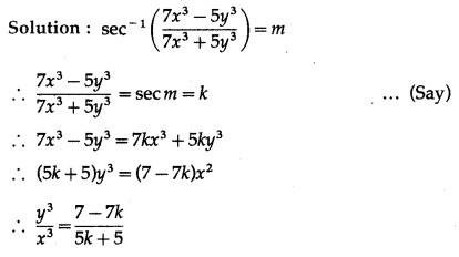
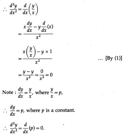
(vi) 
Solution:
y = 
log y = log  = x log x
Differentiating both sides w.r.t. x, we get

Question 2.
 

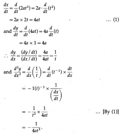
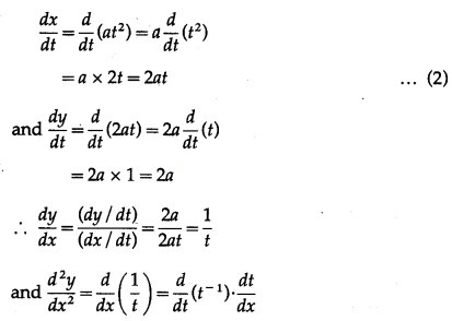
(ii) x = 2a, y = 4at
Solution:
x = 2a, y = 4at
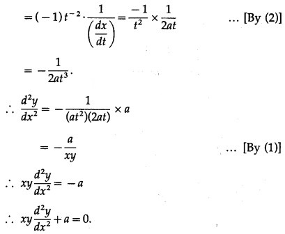
Differentiating x and y w.r.t. t, we get


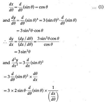
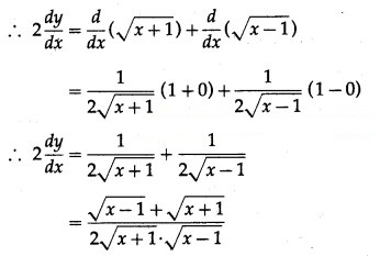
Solution:
x = sin θ, y = θ
Differentiating x and y w.r.t. θ, we get,
 


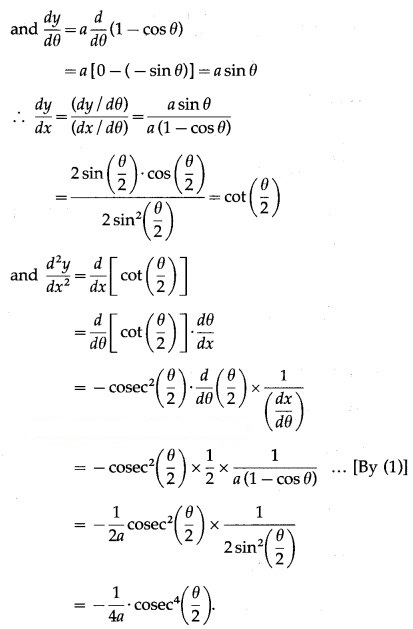
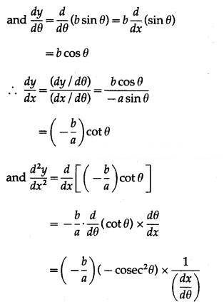
Solution:
x = a cos θ, y = b sin θ
Differentiating x and y w.r.t. θ, we get
 
 

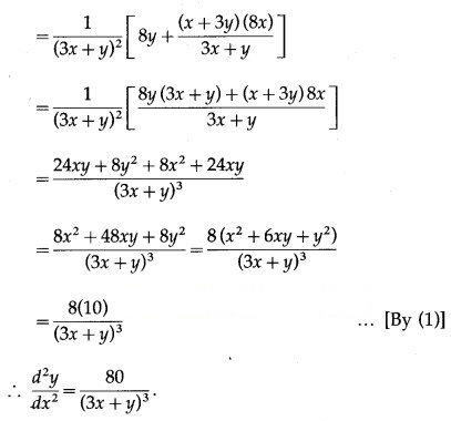
Question 3.
 
Differentiating x and y w.r.t. t, we get
 






 
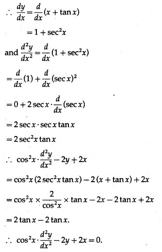
Solution:
y = x + tan x




 
Solution:
 
 

 
Differentiating both sides w.r.t. x, we get
 




 
Differentiating both sides w.r.t. x, we get

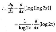
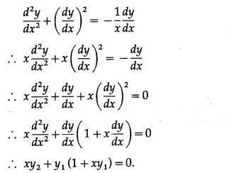
(x) If y = log(log 2x), show that x + (1 + x) = 0.
Solution:
y = log(log 2x)
 
 

 
Differentiating both sides w.r.t. x, we get
 
 


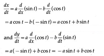
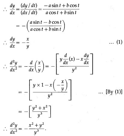
Solution:
x = a sin t – b cos t, y = a cos t + b sin t
Differentiating x and y w.r.t. t, we get
 

Question 4.
Find the nth derivative of the following:
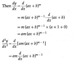
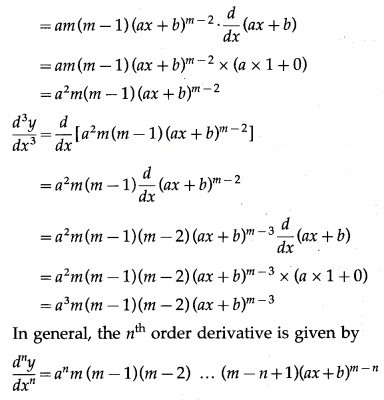
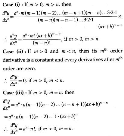
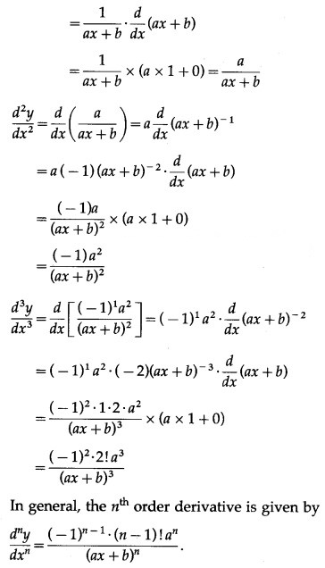
(i) (ax + 
Solution:
Let y = (ax +
 
 

(ii)  1/x
Solution:
Let y = 1/x

(iii) 
Solution:
Let y = 
 

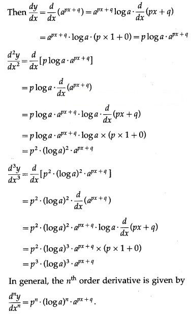
(iv) 
Solution:
Let y = 

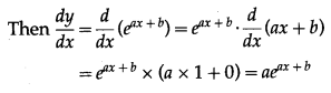
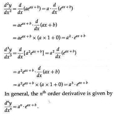
(v) log(ax + b)
Solution:
Let y = log(ax + b)
 

(vi) cos x
Solution:
Let y = cos x

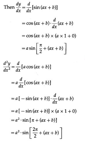
(vii) sin(ax + b)
Solution:
Let y = sin(ax + b)
 

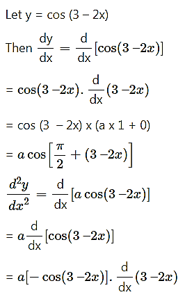
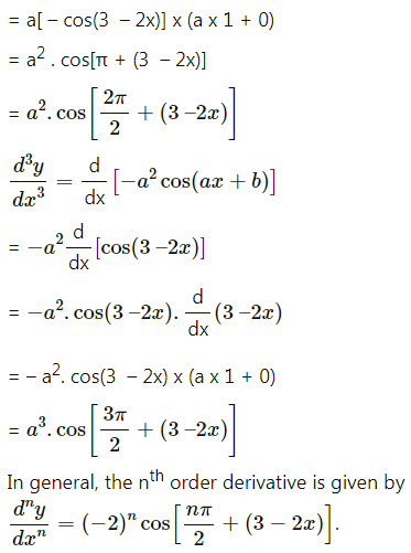
(viii) cos(3 – 2x)
Solution:
 

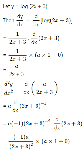
(ix) log(2x + 3)
Solution:
 




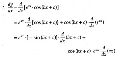
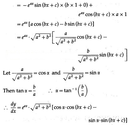
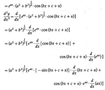
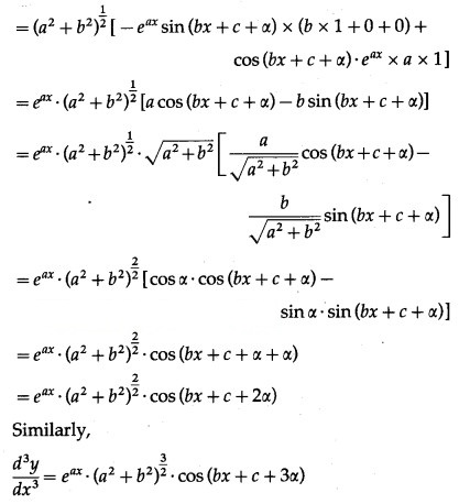
(xi) y =  . cos (bx + c)
Solution:
y =  . cos (bx + c)
 
 
 
 

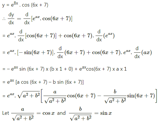
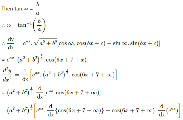
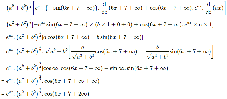
(xii) y =  . cos (6x + 7)
Solution:
 
 
 
