Chapter 2 Applications of Derivatives Ex 2.2
Chapter 2 Applications of Derivatives Ex 2.2
Question 1.
Find the approximate value of given functions, at required points.
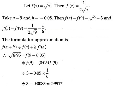
(i) √8.95
Solution:

√8.95 = 2.9917
![]()
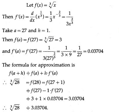
Solution:

![]()
Solution:

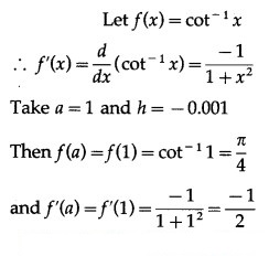
(iv)
Solution:

(v)
Solution:

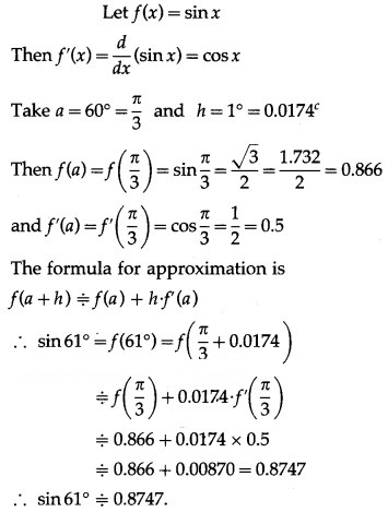
Question 2.
Find the approximate values of:![]()
Solution:

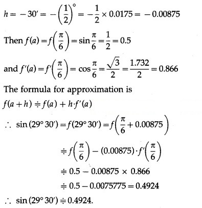
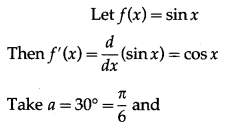
(ii) sin(29° 30′), given that 1° = 0.017, √3 = 1.732.
Solution:

(iii) cos(60° 30′), given that 1° = 0.017, √3 = 1.732.
Solution:

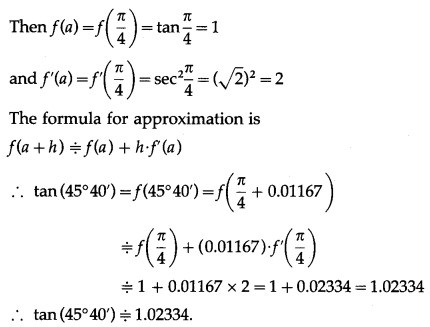
(iv) tan (45° 40′), given that 1° = 0.017.
Solution:

Question 3.
Find the approximate values of
(i) (0.999).
Solution:

(ii) (0.999).
Solution:

(iii) (1.001).
Solution:

Question 4.
Find the approximate values of:
(i) , given that e = 2.7183.
Solution:

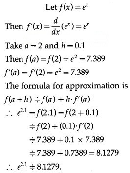
(ii) , given that = 7.389.
Solution:

(iii) , given that log 3 = 1.0986.
Solution:

Question 5.
Find the approximate values of:
(i) (101), given that 10 = 2.3026.
Solution:

(ii) (9.01), given that log 3 = 1.0986.
Solution:

(iii) (1016), given that e = 0.4343.
Solution:

Question 6.
Find the approximate values of:
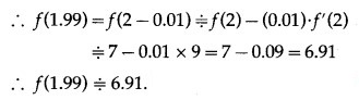
(i) f(x) = – 3x + 5 at x = 1.99
Solution:

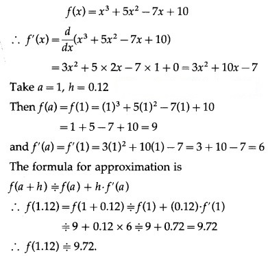
(ii) f(x) = + 5 – 7x +10 at x = 1.12
Solution:
