Chapter 3 Indefinite Integration Ex 3.4
Chapter 3 Indefinite Integration Ex 3.4
I. Integrate the following w. r. t. x:
Question 1.
Solution:

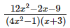
Question 2.![]()
Solution:

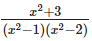
Question 3.![]()
Solution:

Question 4.![]()
Solution:

Question 5.![]()
Solution:

Question 6.![]()
Solution:

Question 7.![]()
Solution:

Question 8.![]()
Solution:

Question 9.![]()
Solution:

Question 10.![]()
Solution:

Question 11.![]()
Solution:

Question 12.![]()
Solution:

Question 13.![]()
Solution:

Question 14.

Question 15.![]()
Solution:

Question 16.
Solution:

Question 17.![]()
Solution:

Question 18.![]()
Solution:

Question 19.![]()
Solution:

Question 20.![]()
Solution:

Question 21.![]()
Solution:

Question 22.![]()
Solution:

Question 23.
Solution:
