Chapter 4 Ratio and Proportion Practice Set 4.4
Chapter 4 Ratio and Proportion Practice Set 4.4
Question 1.
Fill in the blanks of the following.
Solution:

Question 2.
5m – n = 3m + 4n, then find the values of the following expressions.![]()
Solution:
5m – n = 3m + 4n … [Given]
∴ 5m – 3m = 4n + n
∴ 2m = 5n

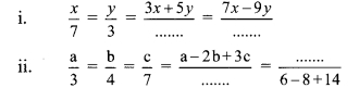
Question 3.
Solve:
Solution:
Here, no two of a, b and c are equal.
∴ values of (b – c), (c – a) and (a – b) are not zero.
a(y + z) = b(z + x) = c(x + y) … [Given]


Solution:

![]()
Solution:

![]()
Solution:

![]()
Solution:

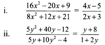
Question 4.
Solve:
Solution:
∴ 7(4x – 5)3(2x + 3)
∴ 28x – 35 = 6x + 9
∴ 28x – 6x = 9 + 35
∴ 22x = 44
∴ x = 2
∴ x = 2 is the solution of the given equation.
ii. 5y2+40y−125y+10y2−4=y+81+2y
∴ y + 8 = 3(1 + 2y)
∴ y + 8 = 3 + 6y
∴ 8 – 3 = 6y – y
∴ 5 = 5y
∴ y = 1
∴ y = 1 is the solution of the given equation.