Chapter 6 Line and Plane Ex 6.4
Chapter 6 Line and Plane Ex 6.4
Question 1.


Question 2.

Question 3.
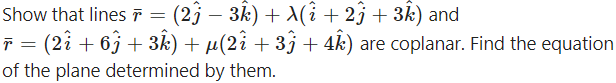
Show that 
Solution:

Question 4.
Question 5.
Find the distance of the point (1, 1, -1) from the plane 3x + 4y – 12z + 20 = 0.
Solution:
