Chapter 7 Limits Ex 7.3
Chapter 7 Limits Ex 7.3
I. Evaluate the following limits:
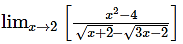
Question 1.![]()
Solution:

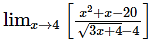
Question 2.![]()
Solution:

Question 3.![]()
Solution:

Question 4.![]()
Solution:

II. Evaluate the following limits:
Question 1.![]()
Solution:

Question 2.![]()
Solution:

Question 3.![]()
Solution:

Question 4.![]()
Solution:

Question 5.
Solution:

III. Evaluate the following limits:
Question 1.![]()
Solution:

Question 2.![]()
Solution:

Question 3.![]()
Solution:

Question 4.![]()
Solution:

Question 5.![]()
Solution:
