Chapter 7 Limits Miscellaneous Exercise 7
Chapter 7 Limits Miscellaneous Exercise 7
I. Select the correct answer from the given alternatives.
Question 1.![]()
(A) 23
(B) 32
(C) -32
(D) -16
Answer:
(C) -32
Hint:

Question 2.
Hint:

Question 3.
Hint:

Question 4.
Hint:

Question 5.
Hint:

Question 6.![]()
(A) 0
(B) 1
(C) 2
(D) 3
Answer:
(C) 2
Hint:

Question 7.
Hint:

Question 8.![]()
(A) log 15
(B) log 3 + log 5
(C) log 3 . log 5
(D) 3 log 5
Answer:
(C) log 3 . log 5
Hint:

Question 9.
Hint:

Question 10.
Hint:

Question 11.
Hint:

Question 12.
Hint:

Question 13.
Hint:

Question 14.
Hint:

Question 15.
Hint:

(II) Evaluate the following.
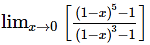
Question 1.![]()
Solution:

Question 2.
limx→0[x] ([*] is a greatest integer function.)
Solution:

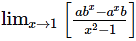
Question 3.![]()
Solution:

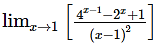
Question 4.![]()
Solution:

Question 5.
Find the limit of the function, if it exists, at x = 1
Solution:

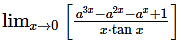
Question 6.![]()
Solution:

Question 7.![]()
Solution:

Question 8.![]()
Solution:

Question 9.![]()
Solution:

Question 10.![]()
Solution:

Question 11.![]()
Solution:

Question 12.![]()
Solution:

Question 13.![]()
Solution:

Question 14.![]()
Solution:

Question 15.![]()
Solution:

Question 16.![]()
Solution:

Question 17.![]()
Solution:

Question 18.![]()
Solution:

Question 19.![]()
Solution:

Question 20.![]()
Solution:

Question 21.![]()
Solution:

Question 22.![]()
Solution:

Question 23.![]()
Solution:

Question 24.![]()
Solution:
